Bernoulli-Cascade-System_MetaBacktest.ex4 Bernoulli-Cascade-System_MetaBacktest.mq4 Bernoulli-Cascade-System-Set1.set
Report-Bernoulli-Cascade-System-EURUSD-M1_MetaBacktest
The Bernoulli Cascade System is an experimental trading framework that integrates randomized trade generation with multi-layer probabilistic validation.
Each batch of trades passes through a cascade of statistical filters — Standard Deviation , Poisson , and Bernoulli distributions — to determine whether the system maintains a statistically acceptable edge.
When performance meets defined probabilistic thresholds, the strategy reinforces itself by adaptively increasing position size.
The approach challenges traditional deterministic system design, positioning itself as a self-adaptive stochastic machine that learns about its statistical consistency directly from live outcomes rather than backtested predictive models.
“If markets are stochastic systems, then an adaptive stochastic participant can statistically evolve toward efficiency.”
BaseLots) adjustable by the trader.n closed trades, the system collects the net results (profit or loss) and computes three tests sequentially:
p₀ (default 0.5).
It calculates the expected mean and standard deviation of wins over n trades:
SDMultiplier
), the performance is considered statistically favorable.
PoissonPThreshold), the win frequency is statistically consistent with the desired behavior — indicating the results are not due to rare luck.
The system increases its next trade size by a multiplier (LotIncreaseFactor, e.g., 2×).
The increased lot remains active until the next evaluation cycle fails.
If the next cycle fails any test, the system reverts to the base lot size.
This adaptive reinforcement mechanism acts as a feedback loop — statistically successful behavior is rewarded, while poor sequences self-correct by reducing exposure.
Randomized SL/TP within specified bounds.
Optional trailing stops when using increased lot size.
Isolation of symbols and trade history through a dedicated MagicNumber.
Initialization:
Seeds the random number generator using system time and an offset.
Trade Trigger:
At a user-defined hour/minute, opens n random trades with chosen SL/TP logic.
Statistical Evaluation:
Once n previous trades are closed, retrieves them from history and performs the three statistical tests in order.
Adaptive Decision:
If all three pass → double next lot size.
If any fail → reset to base lot.
Continuation:
Repeat daily at the specified open time.
TradeCountPerDay = 5
baselineProb = 0.5
SDMultiplier = 1.0
PoissonPThreshold = 0.05
BernoulliThreshold = 0.6
LotIncreaseFactor = 2.0
Standard Deviation Test:
Mean = 2.5, SD ≈ 1.12, threshold = 3.62 → 4 > 3.62 ✅
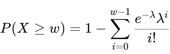
Poisson Test:
λ = 2.5, P(X ≥ 4) ≈ 0.24 ≥ 0.05 ✅
Bernoulli Test:
p̂ = 0.8 ≥ 0.6 ✅
All tests pass → lot size doubles for the next session.
If subsequent performance falls below thresholds, the system automatically reverts to the base size, effectively forming a self-dampening risk control.
The Bernoulli Cascade System isn’t designed to predict price direction — it’s designed to probe the market’s randomness.
Where traditional systems fail under regime change, The Bernoulli Cascade System adapts by redefining what “success” means statistically.
Its power lies in separating random success from probabilistic persistence.
The cascade of tests ensures:
Standard Deviation layer: filters normal noise.
Poisson layer: checks rarity vs. expectation.
Bernoulli layer: validates sustained success.
Together, these form a three-dimensional quality gate for any performance streak — enabling adaptive exposure without prediction bias.
✅ Immune to overfitting — no indicator tuning required.
✅ Fully interpretable statistical framework.
✅ Works as a self-learning reinforcement mechanism.
✅ Can be combined with any other trading logic as a meta-filter.
⚠️ Requires a sufficient number of trades for statistical significance.
⚠️ Random entry may lead to long drawdowns in trending markets.
⚠️ Statistical tests assume independence between trades.
⚠️ Position sizing growth should be capped to prevent compounding risk under variance clusters.
Sliding-window analysis: apply the cascade over multiple batches to detect long-term bias.
Volatility weighting: adjust SL/TP dynamically based on ATR or realized volatility.
Meta reinforcement: allow multiple EAs to share a central statistical state, creating a multi-agent Bernoulli network.
Hybridization: combine BCS with a predictive signal (e.g., neural net output) where prediction controls direction but BCS controls risk scaling.
The Bernoulli Cascade System demonstrates a new paradigm in algorithmic design — one that replaces market prediction with statistical validation.
By structuring a random process and evaluating its outputs through mathematically sound filters, The Bernoulli Cascade System turns randomness itself into a tool of adaptation.
While unconventional, its beauty lies in its simplicity:
“Trade randomly, validate probabilistically, scale adaptively.”
In an era dominated by overfit predictive models, the Bernoulli Cascade System reminds us that sometimes, the purest edge isn’t found in the signal — it’s found in the statistics of our own outcomes.
Bernoulli-Cascade-System_MetaBacktest.ex4 Bernoulli-Cascade-System_MetaBacktest.mq4 Bernoulli-Cascade-System-Set1.set
Report-Bernoulli-Cascade-System-EURUSD-M1_MetaBacktest
2025-10-24 08:29:01
2025-09-10 10:12:41
2025-10-21 09:12:41
The Standard Deviation test checks if the number of wins deviates significantly from the expected mean. The Poisson test assesses the likelihood of observing the number of wins by chance. The Bernoulli test evaluates if the win rate is consistent with the desired probability.
Can this system be combined with other trading strategies or indicators?
Yes, the Bernoulli Cascade System can serve as a meta-filter, allowing you to combine it with other strategies to enhance overall performance.
Opening trades at a specific time with random buy/sell decisions seems unconventional. How does this randomness contribute to the system's effectiveness?
The randomness prevents the system from becoming too tailored to past data, reducing the risk of overfitting. It treats the market as a sampling space, allowing statistical laws to guide decisions.
Could someone explain how the cascade of statistical filters works in layman's terms? I'm familiar with basic trading strategies but not with this approach.
Sure! Think of it as a multi-step quality check. After each batch of trades, the system evaluates the results using three statistical tests: Standard Deviation, Poisson, and Bernoulli distributions. If the results pass all tests, the system increases the trade size. If not, it resets.